Posledná aktualizácia :
27/01/2026
inhibítor protónovej pumpy   Omeprazole sodium  
Perorálny roztok
Injekcia
Stabilita farmaceutických prípravkov Stabilita v zmesiach Faktory ovplyvňujúce stabilitu Kompatibility Odkazy na literatúru PDF
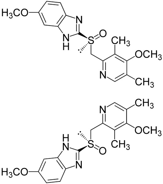
   Chemický vzorec  

Perorálny roztok
Stabilita farmaceutických prípravkov   Perorálny roztok   Stabilita farmaceutických prípravkov : Omeprazole sodium     
obal Pôvod Pomocná látka teplota uchovávanie Trvanie stability odkazy na lieteratúru
Sklo Kapsuly 100 mg
Oméprazole Astra Merck
Uhličitan sodný 8,4% >>50 ml
-20°C Chránené pred svetlom
30 dní
2430

Sklo Kapsuly 100 mg
Oméprazole Astra Merck
Uhličitan sodný 8,4% >>50 ml
24°C nešpecifikované
14 dní
2430

Sklo Tablety 60 mg
® = Parafarm
Sorbitol 70% 6g
Glycerol 1,5 g
Sodná soľ karboxymetylcelulózy 210 mg
Sodná soľ sacharínu 75 mg
Siričitan sodný 30 mg
Silica mäty piepornej 3 mg
NaHCO3 8.4% >> 30 mL
25°C Chránené pred svetlom
14 dní
4360

Sklo Kapsuly 200 mg
Losec®
Uhličitan sodný 8.4 g
Čistená voda >> 100 ml
2°C nešpecifikované
56 dní
2886

Sklo Prášok 60 mg
® = Parafarm
Sorbitol 70% 6g
Glycerol 1,5 g
Sodná soľ karboxymetylcelulózy 210 mg
Sodná soľ sacharínu 75 mg
Siričitan sodný 30 mg
Silica mäty piepornej 3 mg
NaHCO3 8.4% >> 30 mL
4°C Chránené pred svetlom
90 dní
4360

Sklo Tablety 60 mg
® = Parafarm
Sorbitol 70% 6g
Glycerol 1,5 g
Sodná soľ karboxymetylcelulózy 210 mg
Sodná soľ sacharínu 75 mg
Siričitan sodný 30 mg
Silica mäty piepornej 3 mg
NaHCO3 8.4% >> 30 mL
4°C Chránené pred svetlom
150 dní
4360

Sklo Kapsuly 100 mg
Oméprazole Astra Merck
Uhličitan sodný 8,4% >>50 ml
5°C nešpecifikované
30 dní
2430

Plastová fľaša Prášok 200 mg
® = ?
Oral Mix Dry Alka® 6,35 g
Čistená voda >> 100 mL
2-6°C Chránené pred svetlom
42 dní
4683
Plastová fľaša Prášok 500 mg
® = ?
Oral Mix Dry Alka® 6,75 g
Čistená voda >> 100 mL
2-6°C Chránené pred svetlom
42 dní
4683
Plastová fľaša Prášok 1000 mg
® = ?
Oral Mix Dry Alka® 6,75 g
Čistená voda >> 100 mL
2-6°C Chránené pred svetlom
42 dní
4683
Plastová fľaša Prášok 240 mg
Omeprazole
SyrSpend SF® 7,716g
Čistená voda >>120ml
2-8°C Chránené pred svetlom
60 dní
3302

Plastová fľaša Prášok 500 mg
® = ?
SyrSpend SF Alka® 6,3g
Čistená voda > 100 ml
2-8°C Chránené pred svetlom
90 dní
3913

Plastová fľaša Prášok 120mg
Zegerid®
Uhličitan sodný 1680mg
Čistená voda >>60ml
3-5°C Chránené pred svetlom
45 dní
2980

Injekčná striekačka Kapsuly 10 mg
Prilosec®
NaHCO3 8.4% >> 5 ml
22°C Za svetla
14 dní
2546

Injekčná striekačka Prášok 20mg
Zegerid®
Uhličitan sodný 1875mg
Čistená voda >>33,5ml
4°C Chránené pred svetlom
28 dní
2402

Injekčná striekačka Prášok 20mg
Zegerid®
Uhličitan sodný 1680mg
Čistená voda >>10ml
4°C Chránené pred svetlom
28 dní
2402

Injekčná striekačka Prášok 40mg
Zegerid®
Uhličitan sodný 1680mg
Čistená voda >>33,5ml
4°C Chránené pred svetlom
28 dní
2402

Injekčná striekačka Prášok 40mg
Zegerid®
Uhličitan sodný 1680mg
Čistená voda >>20ml
4°C Chránené pred svetlom
28 dní
2402

Injekčná striekačka Prášok 40mg
Zegerid®
Uhličitan sodný 1680mg
Čistená voda >>13,3ml
4°C Chránené pred svetlom
28 dní
2402

Injekčná striekačka Prášok 40mg
Zegerid®
Uhličitan sodný 1680mg
Čistená voda >>10ml
4°C Chránené pred svetlom
28 dní
2402

Injekčná striekačka Kapsuly 10 mg
Prilosec®
NaHCO3 8.4% >> 5 ml
4°C Chránené pred svetlom
45 dní
2546

nešpecifikované Prášok 100 mg
® = Farmalabor s.r.l.
Chopin base® >> 100 mL
4-8°C Chránené pred svetlom
110 dní
4766
nešpecifikované Tablety 200 mg
® = Dr Reddy's omeprazole
Uhličitan sodný 8.4% >> 100 mL
4°C Chránené pred svetlom
20 dní
4388

nešpecifikované Tablety 200 mg
Losec®
Uhličitan sodný 8.4% >> 100 mL
4°C Chránené pred svetlom
20 dní
4388


  Mentions Légales