Utolsó frissítés :
27/04/2026
kontrasztanyag   Gadoterate meglumine  
Injekció
Az oldatok stabilitása A keverékek stabilitása Stabilitást befolyásoló tényezők Kompatibilitás Az alkalmazás módja Irodalom pdf
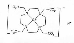
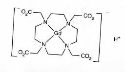
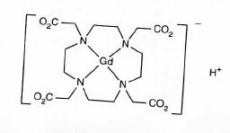
   Kémiai szerkezet   

Kereskedelmi név   Kereskedelmi név     

A kereskedelmi név meghatározó jelentőségű: a készítmények összetétele országonként, előállítóként eltérő lehet

Artirem Hollandia, Németország
Ciclolux Németország, Spanyolország
Clariscan Ausztria, Belgium, Chile, Finnország, Írország, Luxemburg, Magyarország, Németország, Norvégia, Peru, Spanyolország, Svájc, Svédország
Cyclolux Magyarország, Németország, Spanyolország
Dotagita Németország, Románia
Dotagraf Írország, Németország, Spanyolország, Svájc
Dotarem Argentína, Ausztrália, Ausztria, Belgium, Chile, Colombia, Dánia, Egyiptom, Finnország, Franciaország, Görögország, Irán, Írország, Luxemburg, Magyarország, Malaysia, Németország, Norvégia, Olaszország, Peru, Portugália, Románia, Spanyolország, Svájc, Svédország, Szaúd-Arábiában, Törökország, Tunézia, Venezuela
A keverékek stabilitása   Injekció   A keverékek stabilitása : Gadoterate meglumine     
Hiányzó adat

  Mentions Légales