zadnja posodobitev :
27/01/2026
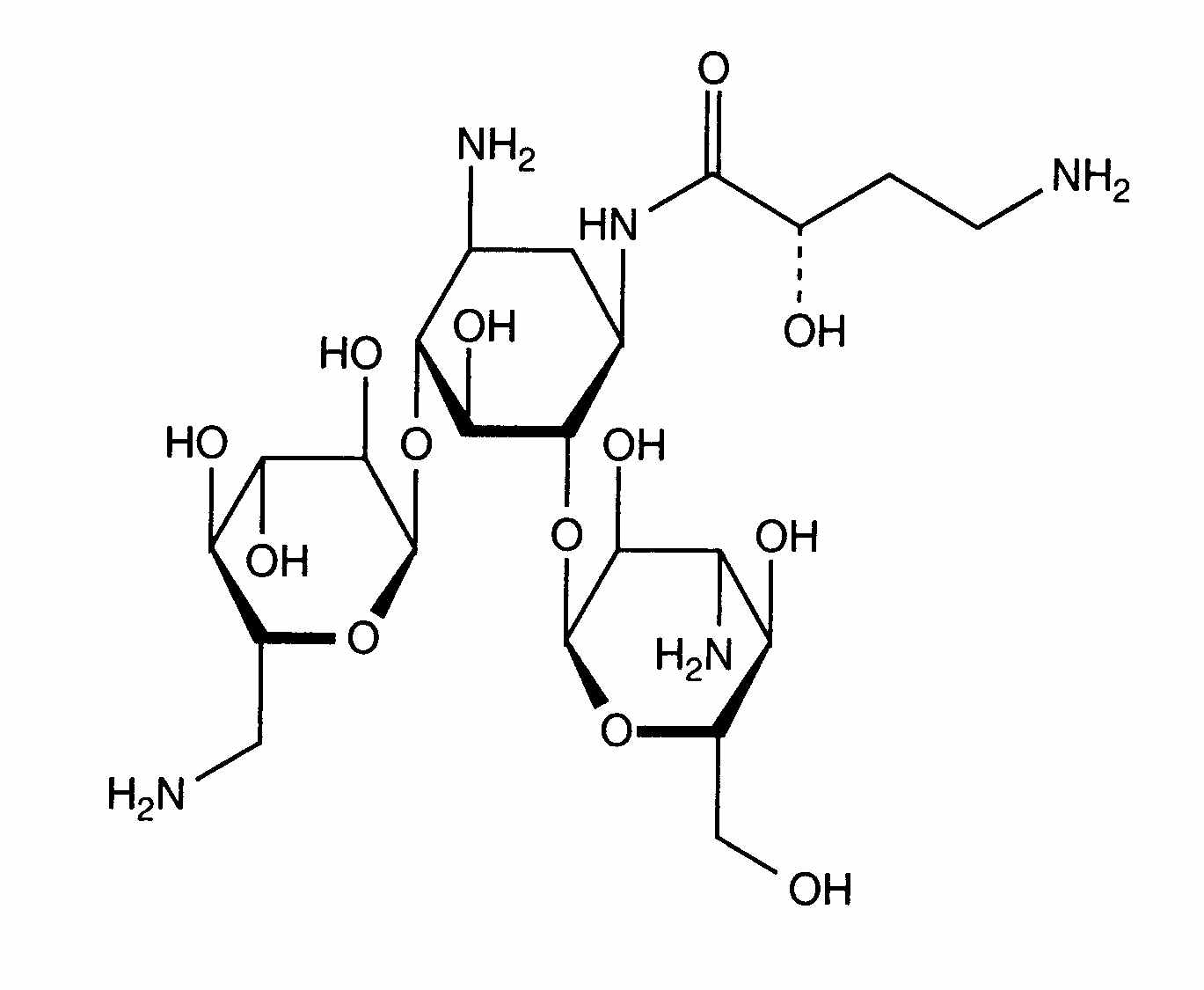
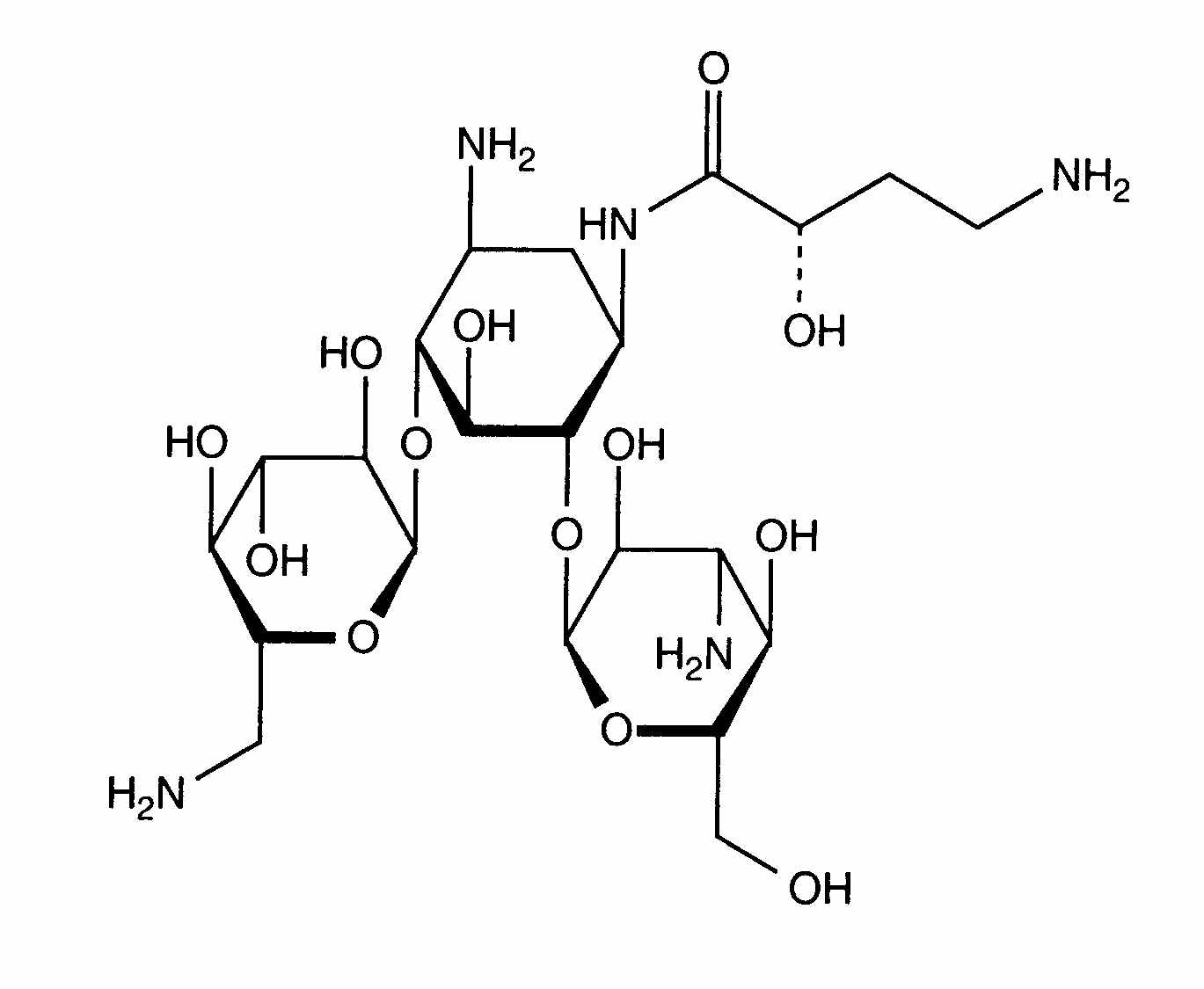
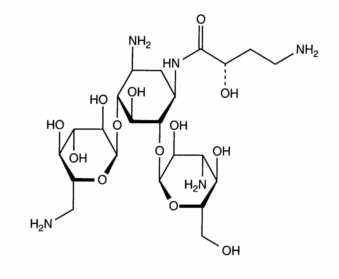
Antibiotik   Amikacin sulfate  
Brizgalka
Stabilnost raztopine Stabilnost mešanice Faktorji, ki vplivajo na stabilnost Kompatibilnost način aplikacije Viri pdf
   Kemična formula  

Lastniško ime   Lastniško ime     

Sestava pomožnih snovi je med paralelami lahko različna

Adnet Indija
Agnicin Mehika
Akamin Ekvador
Akim Ekvador
Amicacil Brazilija
Amicilon Brazilija
Amicin Malezija
Amicip Venezuela
Amijeksin Turčija
Amikabiot Ekvador, Peru
Amikacin Egipt, Iran, Kanada, Malezija, Nemčija, nova Zelandija, Savdska Arabija, Velika Britanija, Združene države Amerike
Amikacina Argentina, Čile, Ekvador, Italija, Kolumbija, Mehika, Peru, Španija, Venezuela
Amikacine Belgija, Francija, Maroko, Nizozemska
Amikafur Mehika
Amikagram Peru
Amikalem Mehika
Amikamed Peru
Amikamek Peru
Amikan Italija
Amikavax Venezuela
Amikaver Turčija
Amikayect Mehika
Amikem Peru
Amiketem Turčija
Amikin Avstralija, Brazilija, Egipt, Ekvador, Irska, Kolumbija, Madžarska, Mehika, Peru, Poljska, Savdska Arabija, Švica, Tunizija, Velika Britanija, Združene države Amerike
Amiklin Francija, Turčija
Amikosit Romunija, Tunizija, Turčija
Amikram Peru
Amukin Belgija, Luksemburg, Nizozemska
Apalin Malezija
Baxi K Čile, Mehika
Behcacin Indija, Venezuela
Belka Indija
Biclin Avstrija, Finska, Mehika, Nemčija, Portugalska, Španija, Švedska
Biodacyna Poljska
Biokacin Mehika
Briklin Grčija
Cadicin Indija
Chemacin Italija
Cikabit Indija
Cinamica Indija
Cinas Indija
Consumonit Grčija
Domak Indija
Doxocar Argentina
Elcin Indija
Elmik Indija
Emcin Indija
Emica Indija
Farcyclin Grčija
Flexelite Grčija
Greini Argentina
Ipacin Iran
Itukacin Peru
Kancin Grčija
Lanomycin Grčija
Lukadin Italija
Masmika Indija
Mediamik Italija
Micalpha Grčija
Micigen Mehika
Migracin Italija
Mikacin Savdska Arabija
Nekacin Italija
Novamin Brazilija
Orlobin Grčija
Remikin Grčija
Rovericlin Grčija
Uzix Grčija
način aplikacije   način aplikacije :Amikacin sulfate     
Voie
Intravensko
Intravenska infuzija
Intramuskularno
Podkožno
intratekalno
Podkožna perfuzija

  Mentions Légales