Última actualização :
27/01/2026
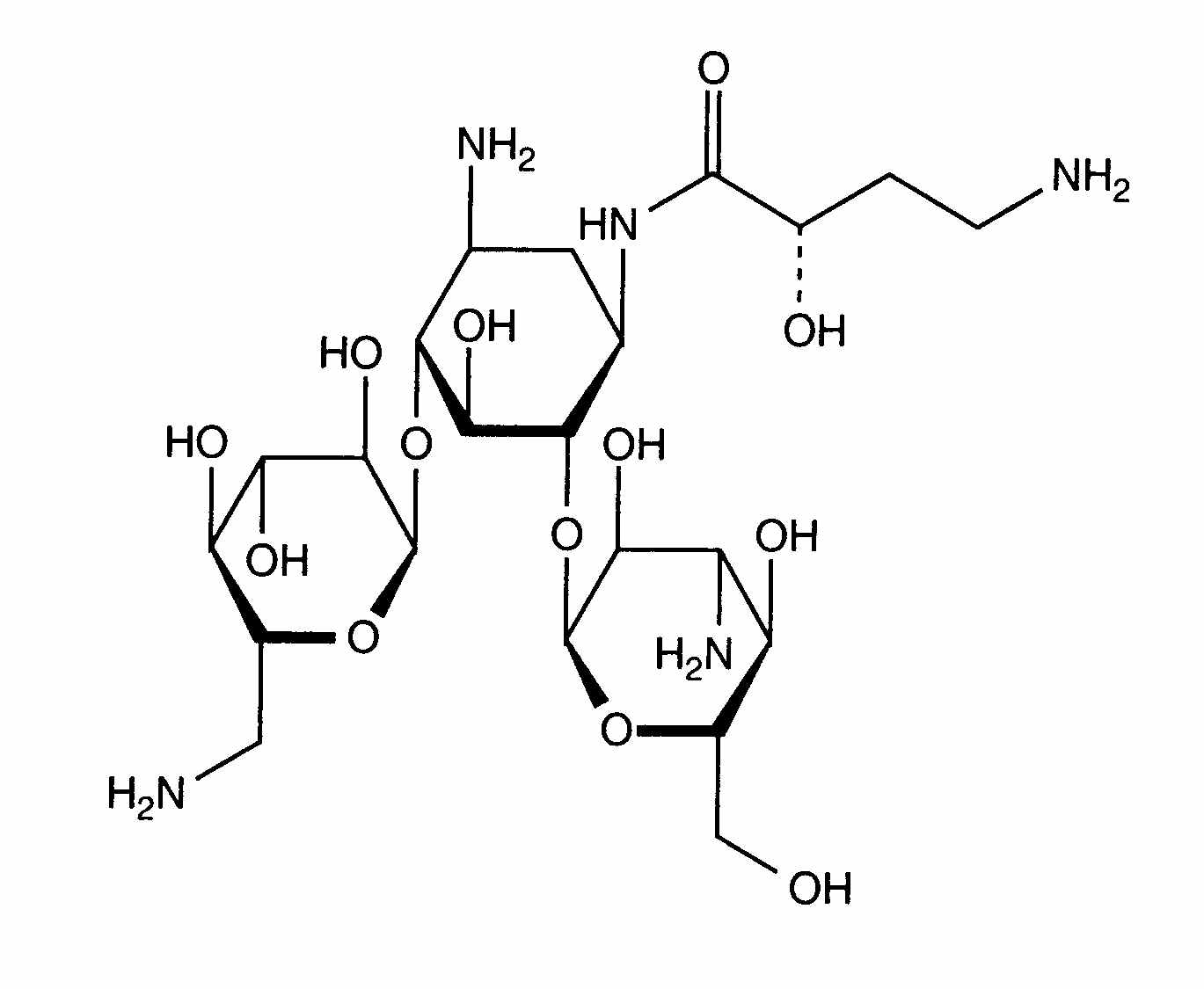
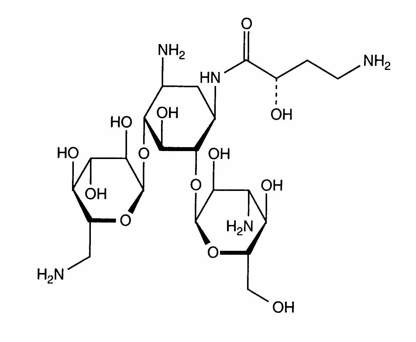
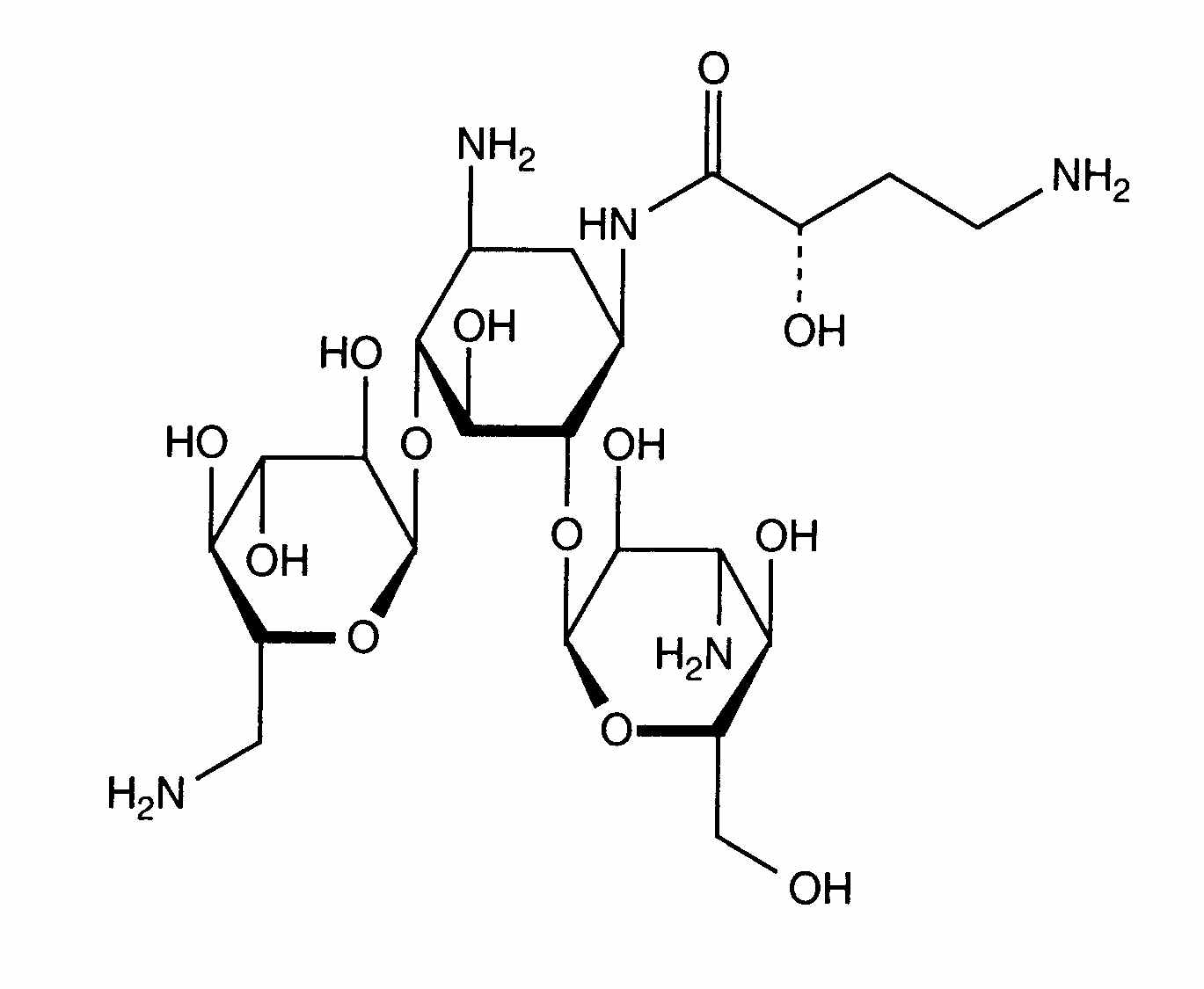
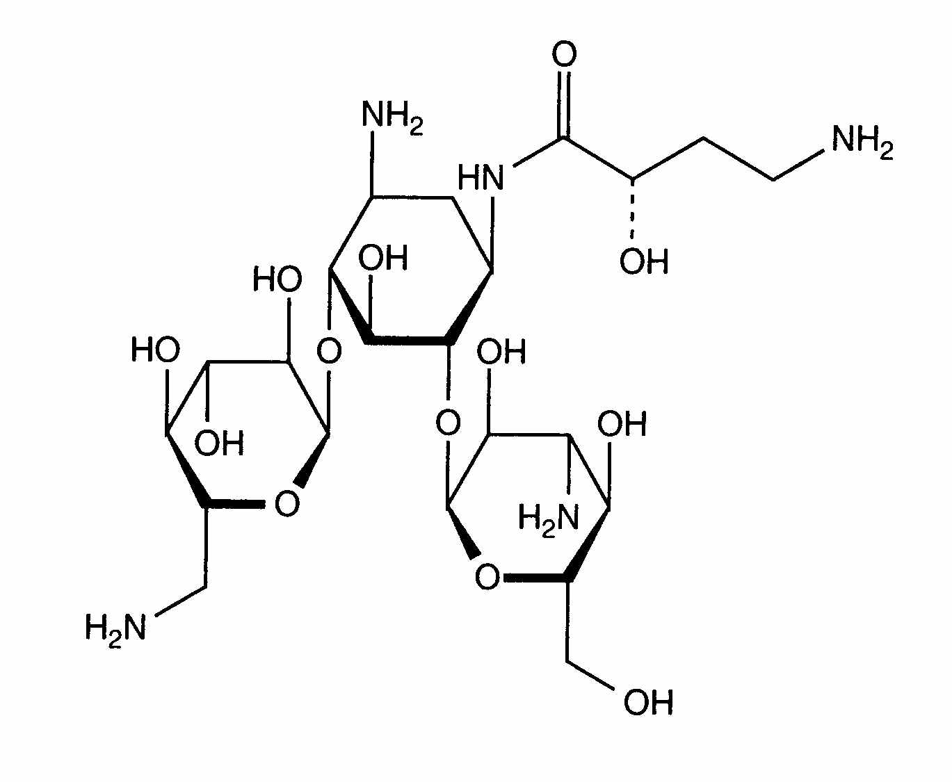
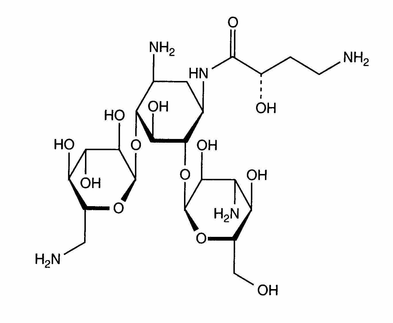
antibiótico   Amikacin sulfate  
injetável
Estabilidade em soluções simples Estabilidade em misturas Factores que afectam a sua estabilidade Compatibilidade Método de administração Bibliografía pdf
   estrutura química  

Nomes comerciais nos diversos países   Nomes comerciais nos diversos países     

OS NOMES COMERCIAIS SÃO INDICATIVOS E OS EXCIPIENTES DA FORMULAÇÃO PODEM SER DIFERENTES CONFORME O PAÍS E FABRICANTE.

Adnet Índia
Agnicin México
Akamin Equator
Akim Equator
Amicacil Brasil
Amicilon Brasil
Amicin Malásia
Amicip Venezuela
Amijeksin Turquia
Amikabiot Equator, Peru
Amikacin Alemanha, Arábia Saudita, Canadá, Egipto, Estados Unidos de América, Gran-bretanha, Irã, Malásia, nova Zelândia
Amikacina Argentina, Chilli, Colômbia, Equator, Espanha, Itália, México, Peru, Venezuela
Amikacine Bélgica, França, Marrocos, Países Baixos
Amikafur México
Amikagram Peru
Amikalem México
Amikamed Peru
Amikamek Peru
Amikan Itália
Amikavax Venezuela
Amikaver Turquia
Amikayect México
Amikem Peru
Amiketem Turquia
Amikin Arábia Saudita, Australia, Brasil, Colômbia, Egipto, Equator, Estados Unidos de América, Gran-bretanha, Hungria, Irlanda, México, Peru, Polonia, Suicia, Tunísia
Amiklin França, Turquia
Amikosit Romènia, Tunísia, Turquia
Amikram Peru
Amukin Bélgica, Luxemburgo, Países Baixos
Apalin Malásia
Baxi K Chilli, México
Behcacin Índia, Venezuela
Belka Índia
Biclin Alemanha, Austria, Espanha, Finlandia, México, Portugal, Suècia
Biodacyna Polonia
Biokacin México
Briklin Grècia
Cadicin Índia
Chemacin Itália
Cikabit Índia
Cinamica Índia
Cinas Índia
Consumonit Grècia
Domak Índia
Doxocar Argentina
Elcin Índia
Elmik Índia
Emcin Índia
Emica Índia
Farcyclin Grècia
Flexelite Grècia
Greini Argentina
Ipacin Irã
Itukacin Peru
Kancin Grècia
Lanomycin Grècia
Lukadin Itália
Masmika Índia
Mediamik Itália
Micalpha Grècia
Micigen México
Migracin Itália
Mikacin Arábia Saudita
Nekacin Itália
Novamin Brasil
Orlobin Grècia
Remikin Grècia
Rovericlin Grècia
Uzix Grècia

Factores que afectam a sua estabilidade   injetável   Factores que afectam a sua estabilidade : Amikacin sulfate        
Ausência de dados

  Mentions Légales