Viimeisin päivitys :
27/04/2026
anti dementia   Pimavanserin  
Oraaliliuos
Vakaus lääkevalmisteen Stabilius seoksissa Tekijät, jotka vaikuttavat stabiliuteen Yhteensopivuus Viitteet pdf
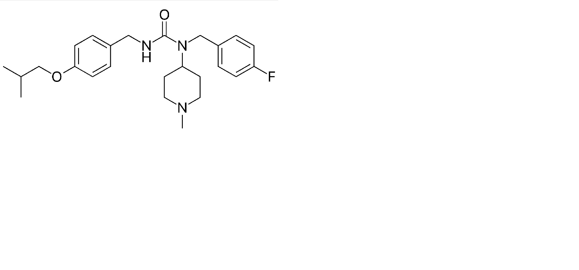
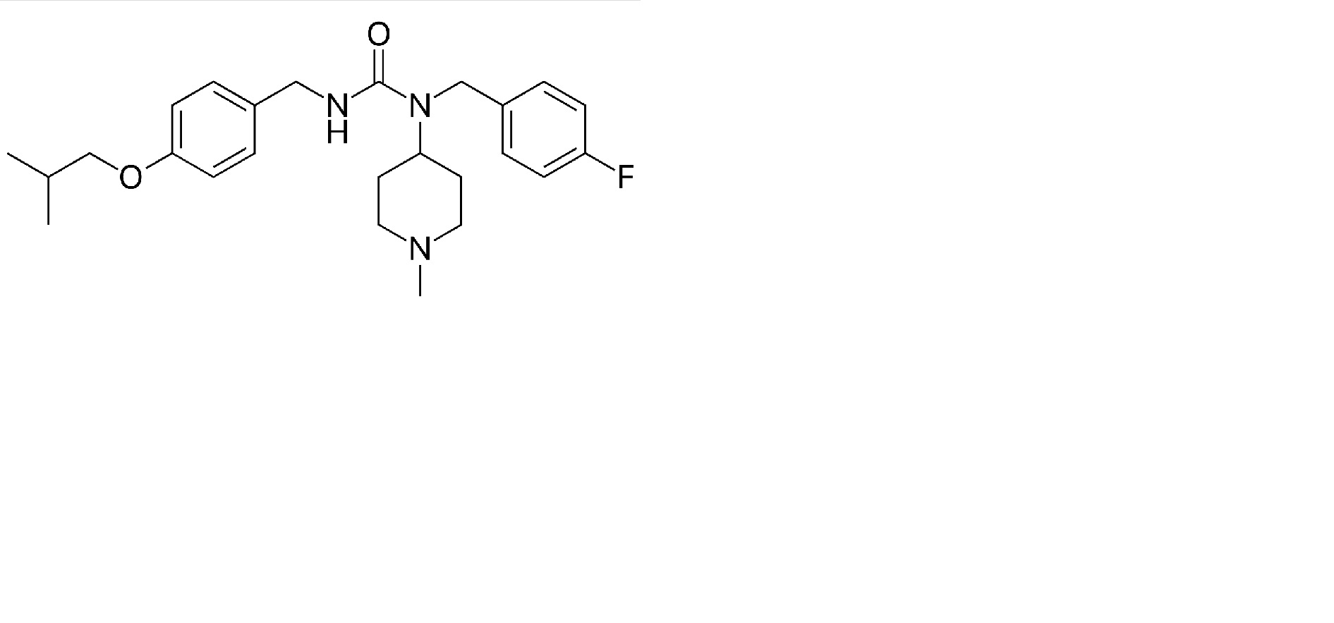
   Kemiallinen rakenne  

Oraaliliuos
Stabilius seoksissa   Oraaliliuos   Stabilius seoksissa : Pimavanserin     
ei tietoa

  Mentions Légales