Última actualización :
27/04/2026
anti-demencia   Pimavanserin  
Solución Oral
La estabilidad de las preparaciones farmacéuticas Estabilidad en mezcla Factores que influyen sobre la estabilidad Compatibilidades Bibliografía pdf
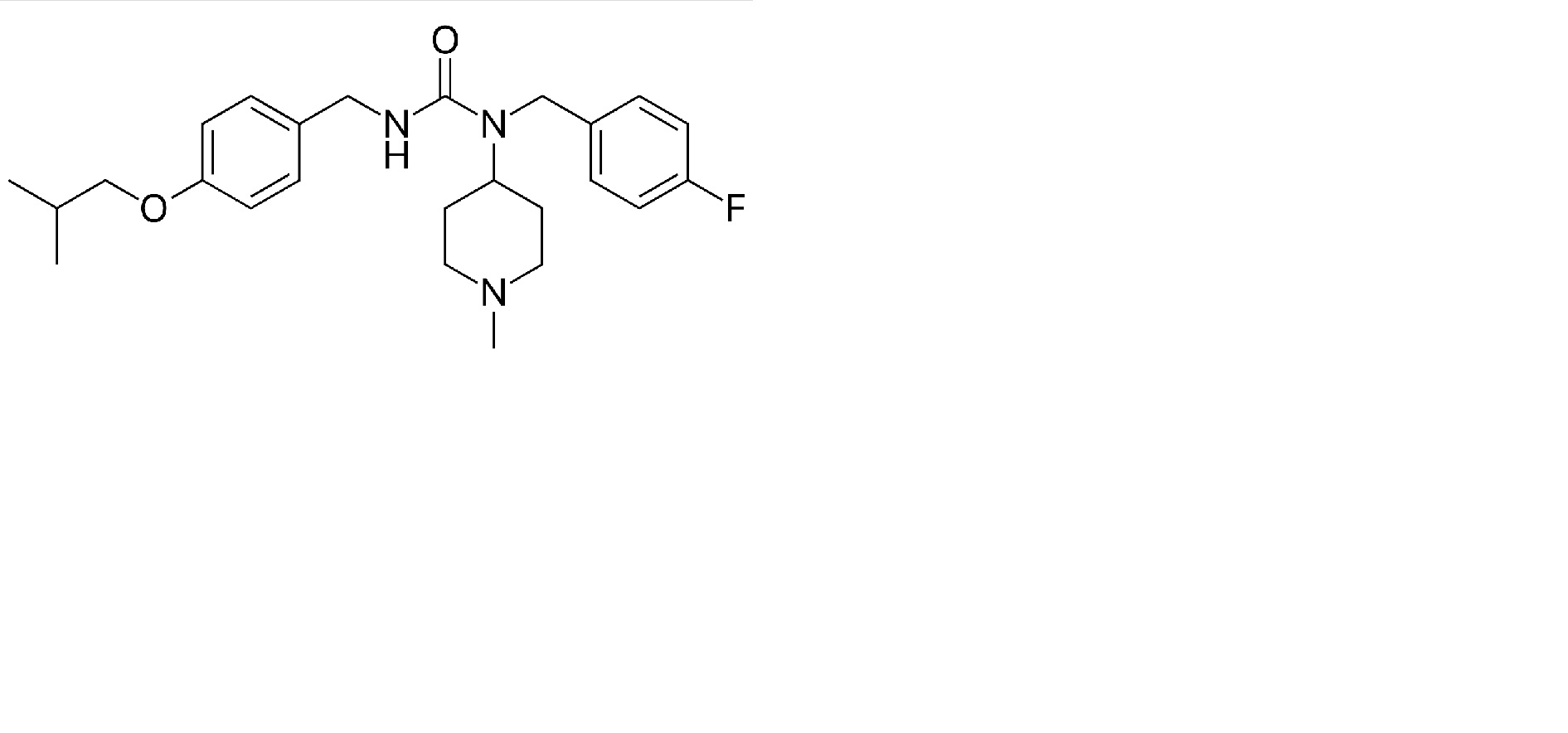
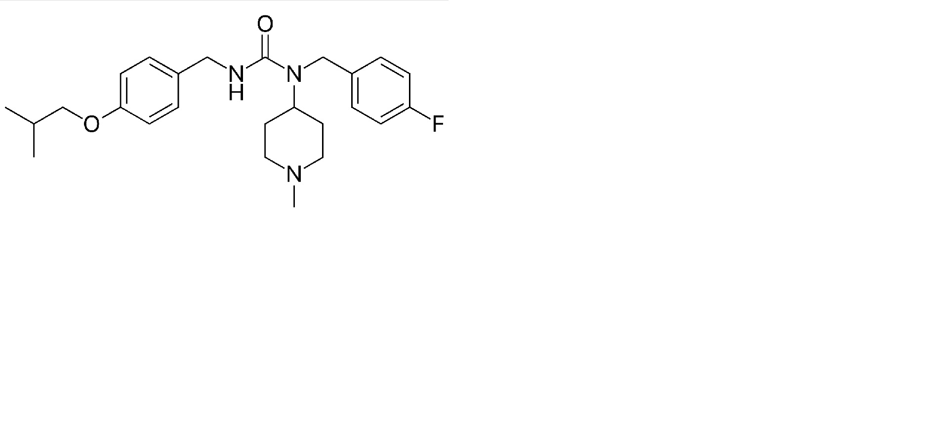
   Estructura química  

Solución Oral
Compatibilidades   Solución Oral   Compatibilidades : Pimavanserin              
Ausencia de datos

  Mentions Légales