Последнее обновление :
27/04/2026
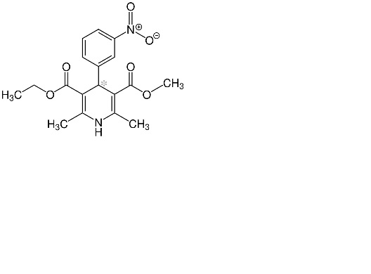
Антигипертензивное средство   Nitrendipine  
Раствор для перорального приёма
Стабильность фармацевтических препаратов Стабильность смесей Факторы, которые влияют на стабильность Совместимость Библиография pdf
   Химическая структура  

Раствор для перорального приёма

Факторы, которые влияют на стабильность   Раствор для перорального приёма   Факторы, которые влияют на стабильность : Nitrendipine        
данных нет

  Mentions Légales