Останнє оновлення :
27/01/2026
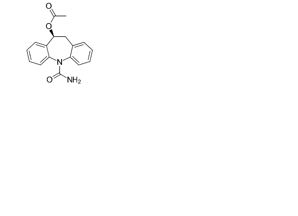
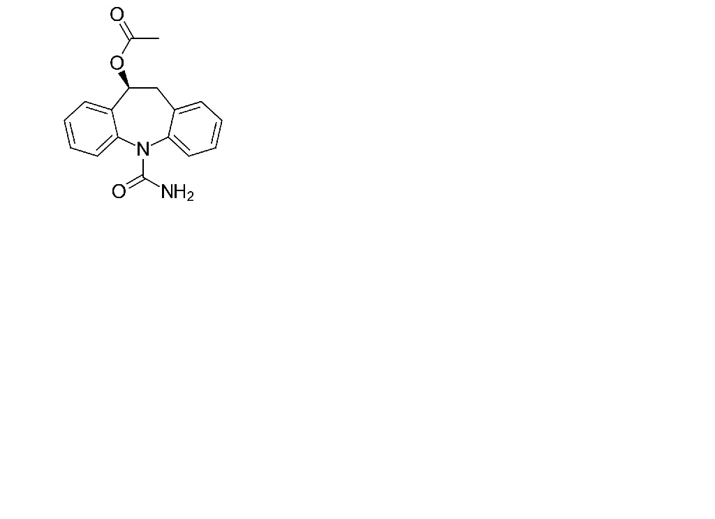
протиепілептичний   Eslicarbazepine acetate  
Розчин для перорального застосування
Стабільність фармацевтичних препаратів Стійкість сумішей Фактори, що впливають на стабільність Сумісність Список літератури pdf
   Хімічна структура  

Розчин для перорального застосування
Стабільність фармацевтичних препаратів   Розчин для перорального застосування   Стабільність фармацевтичних препаратів : Eslicarbazepine acetate     
Контейнер Origine допоміжна речовина температура Зберігання Тривалість стабільності Список літератури
пластикова пляшка таблетки 1200 mg
Aptiom®
OraPlus® / OraSweet® (1:1) >> 30 mL
2-8°C Берегти від світла
63 День
4170

пластикова пляшка таблетки 1200 mg
Aptiom®
OraPlus® / OraSweet SF® (1:1) >> 30 mL
2-8°C Берегти від світла
63 День
4170

пластикова пляшка таблетки 1200 mg
Aptiom®
OraPlus® / OraSweet® (1:1) >> 30 mL
25°C Берегти від світла
63 День
4170

пластикова пляшка таблетки 1200 mg
Aptiom®
OraPlus® / OraSweet SF® (1:1) >> 30 mL
25°C Берегти від світла
63 День
4170

Не визначено таблетки 400 mg
Aptiom®
OraPlus® /Purified water(1:1) >> 100 mL
20-25°C Не визначено
48 годину
4048


  Mentions Légales